 |
La
série de Taylor est une représentation d'une fonction
(réelle ou complexe) en termes d'une somme de termes calculés à partir
des dérivées de la fonction en un point a donné. Cela permet d'approximer
des fonctions difficile à évaluer, mais facile à dériver, par des polynômes,
qui sont beaucoup plus faciles à manipuler. Chaque terme du polynôme
porte une partie de l'information sur la courbure de la fonction à travers
ses dérivées. Cette série est nommée d'après le mathématicien britannique
Brook Taylor, qui a formalisé cette idée au
début du XVIIIe siècle.
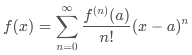
Soit, par exemple
une fonction f(x) qui est infiniment dérivable au voisinage de a, sa série
de Taylor autour de a est :
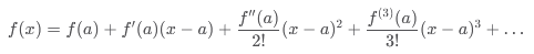
Ou, de manière plus
compacte :
En principe, en prenant
un nombre suffisamment grand de termes de la série, on peut obtenir une
approximation aussi précise que nécessaire de la fonction dans un certain
intervalle autour du point a. Mais, la série de Taylor ne converge pas
nécessairement vers la fonction pour tous les points x, et la région
où la série converge vers la fonction est appelée intervalle de convergence.
La détermination de cet intervalle peut être un aspect important de l'analyse
de la série. De plus, certaines fonctions ne peuvent pas être représentées
exactement par une série de Taylor, soit parce qu'elles n'ont pas toutes
les dérivées nécessaires, soit parce que leur série de Taylor ne converge
pas vers la fonction en dehors du point a.
Une série de Taylor
centrée en a = 0 est appelée série de MacLaurin. C'est un cas particulier
de la série de Taylor.
Les séries de Taylor
sont utilisées dans de nombreux domaines, comme l'approximation de fonctions,
la résolution d'équations différentielles, l'analyse asymptotique, et
bien d'autres.
Par exemple, la fonction
exponentielle ex a une série de Taylor
très connue :
Cette série converge
vers ex pour tous les x réels et complexes.
De même, le sinus
et le cosinus ont leurs séries de Taylor :

Ces séries sont particulièrement
utiles en analyse numérique pour calculer des valeurs approchées de ces
fonctions trigonométriques. |
|