.
-

Orthogonal

En géométrie, le mot orthogonal équivaut en général à perpendiculaire ou rectangulaire. Ainsi on dit qu'un système de coordonnées est orthogonal lorsque chaque axe est perpendiculaire sur l'autre, ou sur les deux autres, qu'une projection est orthogonale quand elle se fait en abaissant de chaque point une perpendiculaire sur le plan de projection.

Lorsque trois familles de surfaces variables sont telles qu'en chaque point commun les plans tangents sont perpendiculaires deux à deux, de manière à former un trièdre trirectangle, on dit que ces surfaces forment un système triplement orthogonal. 

Les formules linéaires qui permettent de passer d'un système orthogonal de coordonnées à un autre système orthogonal de même origine constituent une substitution qui, en raison de son origine, a reçu le nom d'orthogonale; et par extension, on a qualifié de la même manière des substitutions linéaires qui présentent des propriétés algébriques analogues et qui représentent, si l'on veut, des transformations de coordonnées permettant de passer d'un système orthogonal à un autre, dans des espaces à plus de trois dimensions. 

C'est une manière commode d'exprimer, avec un langage géométrique; des propriétés purement analytiques, mais qu'il serait plus long et plus compliqué d'énoncer autrement. (C.-A. Laisant). 

Fonctions orthogonales.
Une fonction orthogonale est une fonction qui satisfait une propriété particulière d'orthogonalité par rapport à une autre fonction dans un certain espace fonctionnel, généralement dans le cadre d'un produit scalaire défini sur cet espace. 

Autrement dit les fonctions orthogonales sont des fonctions qui respectent une condition d'indépendance mathématique par le biais de leur produit scalaire nul, et elles sont importantes dans de nombreux domaines. Les fonctions orthogonales sont utilisées pour résoudre des équations différentielles, comme dans la mécanique quantique (fonctions propres d'un opérateur). Les séries de Fourier et autres décompositions utilisent des fonctions orthogonales pour analyser des signaux. Les systèmes de polynômes orthogonaux aident dans l'approximation numérique et la théorie des erreurs.

Orthogonalité et produit scalaire.
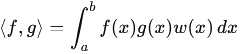
Deux fonctions f(x) et g(x) sont dites orthogonales sur un intervalle [a, b] si leur produit scalaire est égal à zéro. Dans le cas des fonctions, le produit scalaire est défini comme suit : 

où  w(x) est appelée fonction de poids (w(x)=1 dans les cas simples),  [a, b] est l'intervalle d'intégration. Si ‹ f, g › = 0, alors f(x) et g(x) sont orthogonales sur [a,b].
Exemples : les polynômes de Legendre sont des polynômes orthogonaux sur [−1, 1] avec une fonction de poids w(x) = 1; les polynômes de Tchebychev sont orthogonaux sur [−1,1] avec w(x) = 1/ √(1-x²); sur [0, 2Ï€], les fonctions sinâ¡(nx) et cosâ¡(mx) (où n≠m) sont orthogonales avec w(x)=1.
Propriétés importantes.
L'orthogonalité est utile pour décomposer des fonctions complexes en une somme de fonctions plus simples. C'est le principe des séries de Fourier, où des fonctions sont exprimées comme une somme de sinus et cosinus orthogonaux.

Les systèmes de fonctions orthogonales forment une base dans un espace fonctionnel donné (comme l'espace de Hilbert), ce qui permet de représenter toute fonction (sous certaines conditions) comme une combinaison linéaire de ces fonctions.

Matrices orthogonales.
Une matrice orthogonale est une matrice carrée (L'algèbre linéaire) qui satisfait une propriété particulière liée à la conservation des normes et des angles. Plus précisément, une matrice Q est orthogonale si elle satisfait l'équation suivante : QTQ = QQT = I, où QT est la transposée de Q, et I est la matrice identité de même dimension que Q. En d'autres termes, une matrice orthogonale est une matrice dont les colonnes (et les lignes) sont orthogonales entre elles et ont une norme égale à 1.

Les matrices orthogonales sont utilisées pour effectuer des rotations et des réflexions dans des espaces de dimension quelconque. En algèbre linéaire numérique, les matrices orthogonales sont essentielles car elles évitent l'amplification des erreurs numériques lors des calculs. Les matrices orthogonales sont utilisées dans des techniques comme la transformée de Fourier discrète et la transformée de cosinus discrète.

Propriétés.
Les colonnes (ou lignes) d'une matrice orthogonale forment un ensemble orthonormé, ce qui signifie qu'elles sont à la fois orthogonales entre elles et de norme unitaire. Pour les colonnes : ‹ qi, qj › = δij, où qi et qj​ sont les colonnes de Q et δij est le symbole de Kronecker (1 si i=j, 0 sinon).

Si on applique une matrice orthogonale Q à un vecteur v, la norme de v reste inchangée : ||Qv|| = ||v||.

Les transformations par une matrice orthogonale conservent les angles entre les vecteurs. Ainsi, Q représente une rotation ou une réflexion dans l'espace.

L'inverse d'une matrice orthogonale est sa transposée :  Q−1= QT.

Le déterminant d'une matrice orthogonale est toujours +1 (pour une rotation) ou −1 (pour une réflexion).

.


Dictionnaire Idées et méthodes
A B C D E F G H I J K L M N O P Q R S T U V W X Y Z
[Aide][Recherche sur Internet]

© Serge Jodra, 2025. - Reproduction interdite.